力士乐A4VSO轴向柱塞泵特性 - A4VSO40 ,A4VSO71 ,A4VSO125 ,A4VSO180 ,A4VSO250
发布时间:2023-02-02
力士乐A4VSO轴向柱塞泵
系列10,11和30
规格40...1000
公称压力350bar
峰值压力400bar
开路
力士乐A4VSO液压泵规格:A4VSO40 ,A4VSO71 ,A4VSO125 ,A4VSO180 ,A4VSO250
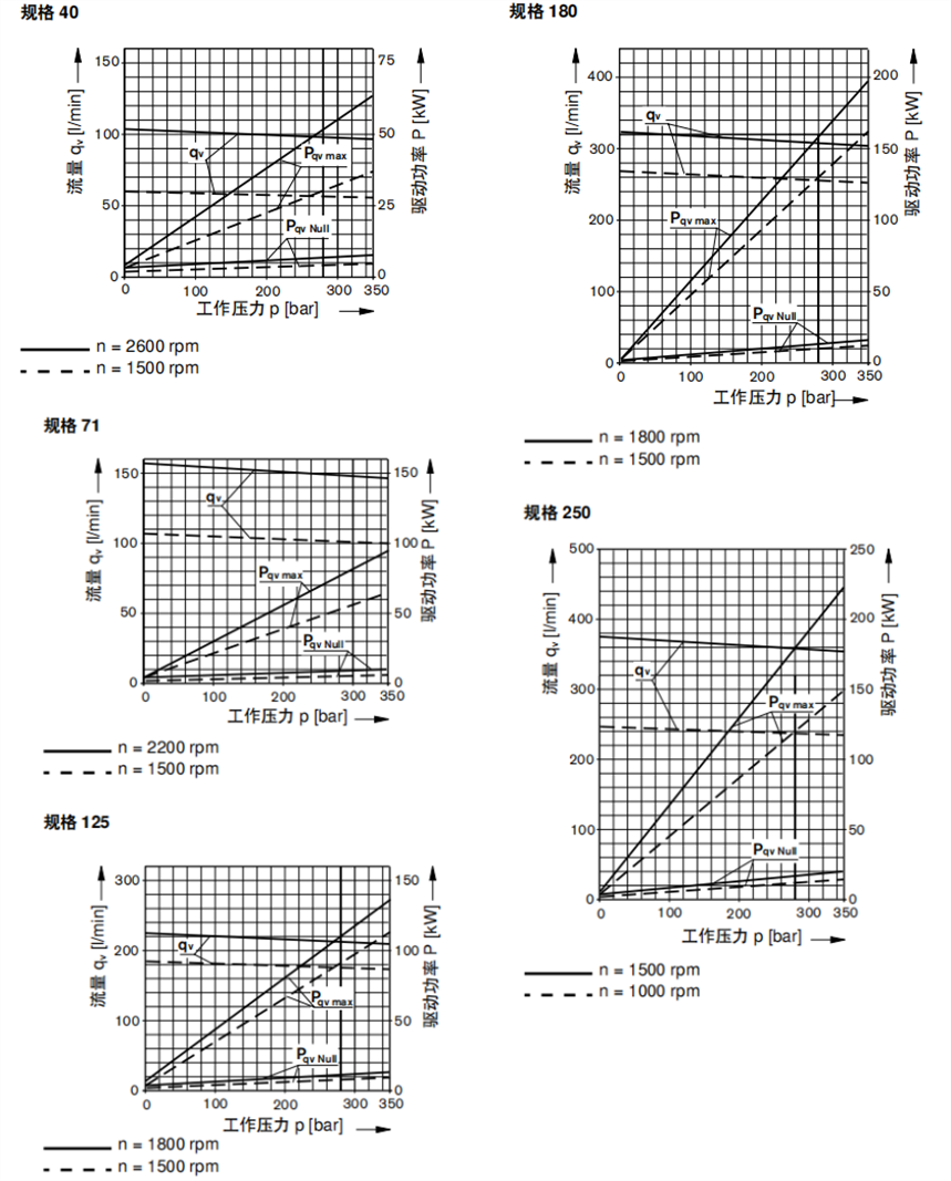
力士乐A4VSO轴向柱塞泵特性:(A4VSO40~250)
驱动功率和流量
(油液:符合 ISO VG 46 DIN 51519 的液压油,t = 50 °C)
总效率: ηt = qv • p 容积效率: ηv = qv
Pqv 最大 • 600 qv 理论

力士乐A4VSO轴向柱塞变量泵特点:
–采用斜盘设计的轴向柱塞泵,适用于开路中的液压传动装置
–流量与输入传动速度和排量成比例。通过调整斜盘角度,可对输出流量进行无级调节。
–出色的吸油特性
–低噪音等级
–长久的使用寿命
–模块化设计
–响应时间短
–变速通轴传动选项
–可视摆动角指示器
–可选安装位置
–可在减少运行数据的情况下使用HF油液运行
有一个特殊型号可用于使用HFC油液运行,请参阅样本RC92053




