13686884195
力士乐rexroth 液压泵原厂再制造
液压泵维修
液压泵配件
联系我们

行业动态

当前位置:主页 > 行业动态 >

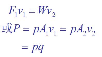
液压传动装置的功率关系--力士乐液压油泵







由式可知,在液压传动中的功率可以用压力p和流量q的乘积来表示,压力p和流量q是液压传动中最基本、最重要的两个参数。




 -   发布时间:2018-05-08    -